• Предмет: Алгебра
  • Автор: Pechenka100500
  • Вопрос задан 8 лет назад

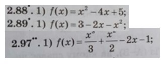
30 БАЛЛОВ = 3 примера. Найти критичные точки функции y=f(y). Найти минимум и максимум.

Расписать всё подробно.

Приложения:

Ответы

Ответ дал: irinan2014
0
Решение дано на фото.
Приложения:
Вас заинтересует