Тело, имеющее скорость 70мс, пройдя путь s=505 м остановилось. Определить ускорение тела, если оно двигалось с постоянным ускорением.
Ответы
Ответ дал:
0
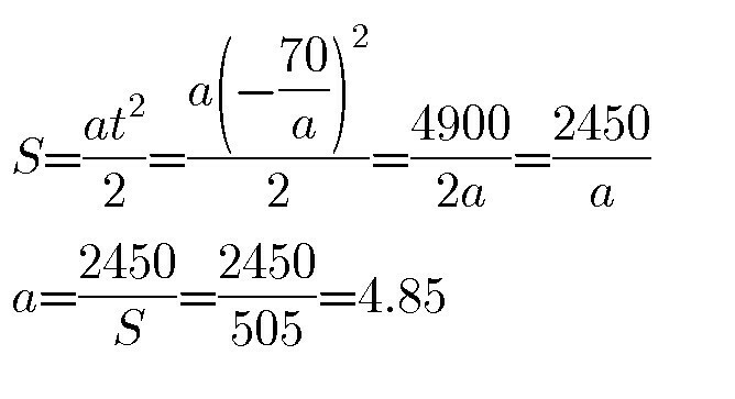
v0 = 70м/с. v1 = 0 м/с. S=505м. а-?
t = (v1-v0)/a = -70/a
вычисления в приложении
Тело замедлялось, ускорение отрицательное
a = -4,85 м/с^2
2 вариант
Формула пути без времени
S = (v1^2-v0^2)/(2a)
a = (v1^2-v0^2)/(2S) =-4900/(2*505)=-4,85м/с^2
t = (v1-v0)/a = -70/a
вычисления в приложении
Тело замедлялось, ускорение отрицательное
a = -4,85 м/с^2
2 вариант
Формула пути без времени
S = (v1^2-v0^2)/(2a)
a = (v1^2-v0^2)/(2S) =-4900/(2*505)=-4,85м/с^2
Приложения:
Вас заинтересует
2 года назад
3 года назад
9 лет назад
9 лет назад
10 лет назад