Ответы
Ответ дал:
0
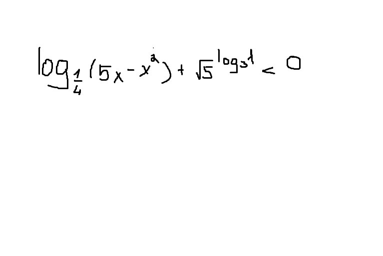
ОДЗ: 5x - x² > 0
x(5 - x)> 0
x(x - 5) < 0
x∈ (0 ; 5)

+ - +
__________₀____________₀______________
1 4
x ∈ (1 ; 4)
x(5 - x)> 0
x(x - 5) < 0
x∈ (0 ; 5)
+ - +
__________₀____________₀______________
1 4
x ∈ (1 ; 4)
Ответ дал:
0
task/28555881
-------------------
см приложение
-------------------
см приложение
Приложения:
Вас заинтересует
3 года назад
9 лет назад
9 лет назад
10 лет назад