• Предмет: Алгебра
  • Автор: Аноним
  • Вопрос задан 11 лет назад

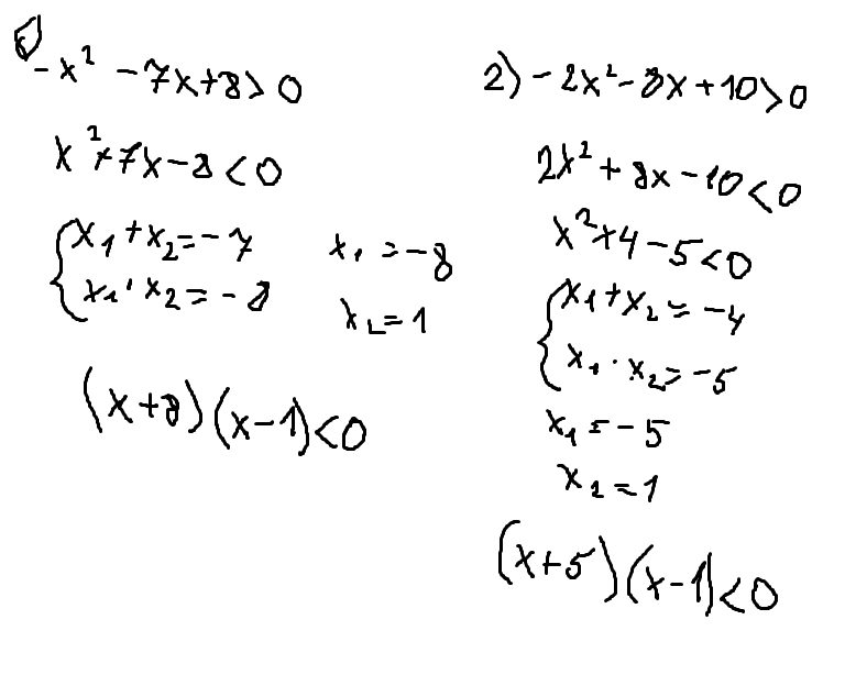
Приведите неравенство:

 

б) -х^2 - 7 х + 8 > 0            г) -2х^2 - 8x + 10 > 0

 

к виду ( x - x1)( x - x2) > 0 или ( x -  x1)( x - x2) < 0

 

Ответы

Ответ дал: Niсk98
0
Как то так извиняюсь, за корявый почерк 
Приложения:
Вас заинтересует