• Предмет: Математика
  • Автор: slix1
  • Вопрос задан 9 лет назад

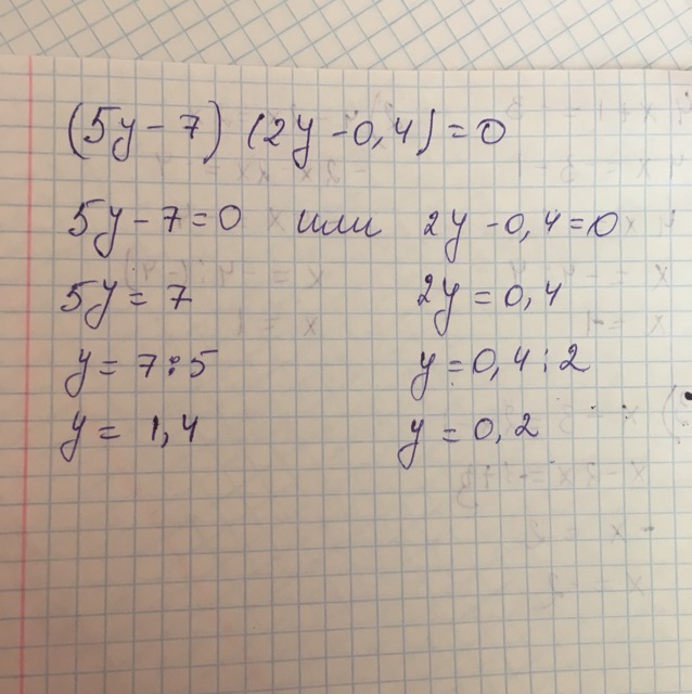
найдите корни уравнения (5y-7) (2y-0,4)=0

Ответы

Ответ дал: Jenia20000
0
Напиши в конце ответ.
Приложения:
Ответ дал: slix1
0
спасибо большое)
Ответ дал: Jenia20000
0
Не за что)
Ответ дал: tatsach
0
5у-7=0
5у=7
У=7:5
У1=1,4

2у-0,4=0
2у=0,4
У=0,4:2
У2=0,2
Приложения:
Ответ дал: slix1
0
спасибо большое)
Ответ дал: tatsach
0
Пожалуйста
Вас заинтересует