• Предмет: Математика
  • Автор: Strex1
  • Вопрос задан 8 лет назад

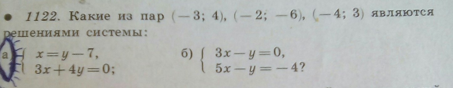
помогите умоляю решить 1122 номер

Приложения:

Ответы

Ответ дал: bus171
0
а).(-4, 3)
б).(-2, -6)
Вас заинтересует