• Предмет: Алгебра
  • Автор: 6376472voloda
  • Вопрос задан 9 лет назад

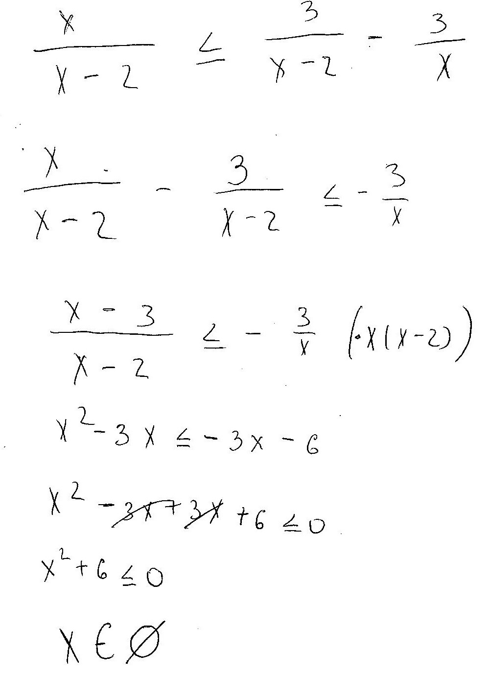
Икс дробная черта икс минус 2 меньше или равно 3 дробная черта икс минус 2 минус 3 дробная черта Икс

Ответы

Ответ дал: salnik1909p5sg3s
0
Ответ: По моему все должно быть правильно
Приложения:
Ответ дал: Аноним
0
.......................
Приложения:
Вас заинтересует