СРОЧНО!!! ДАЮ 30 БАЛЛОВ!
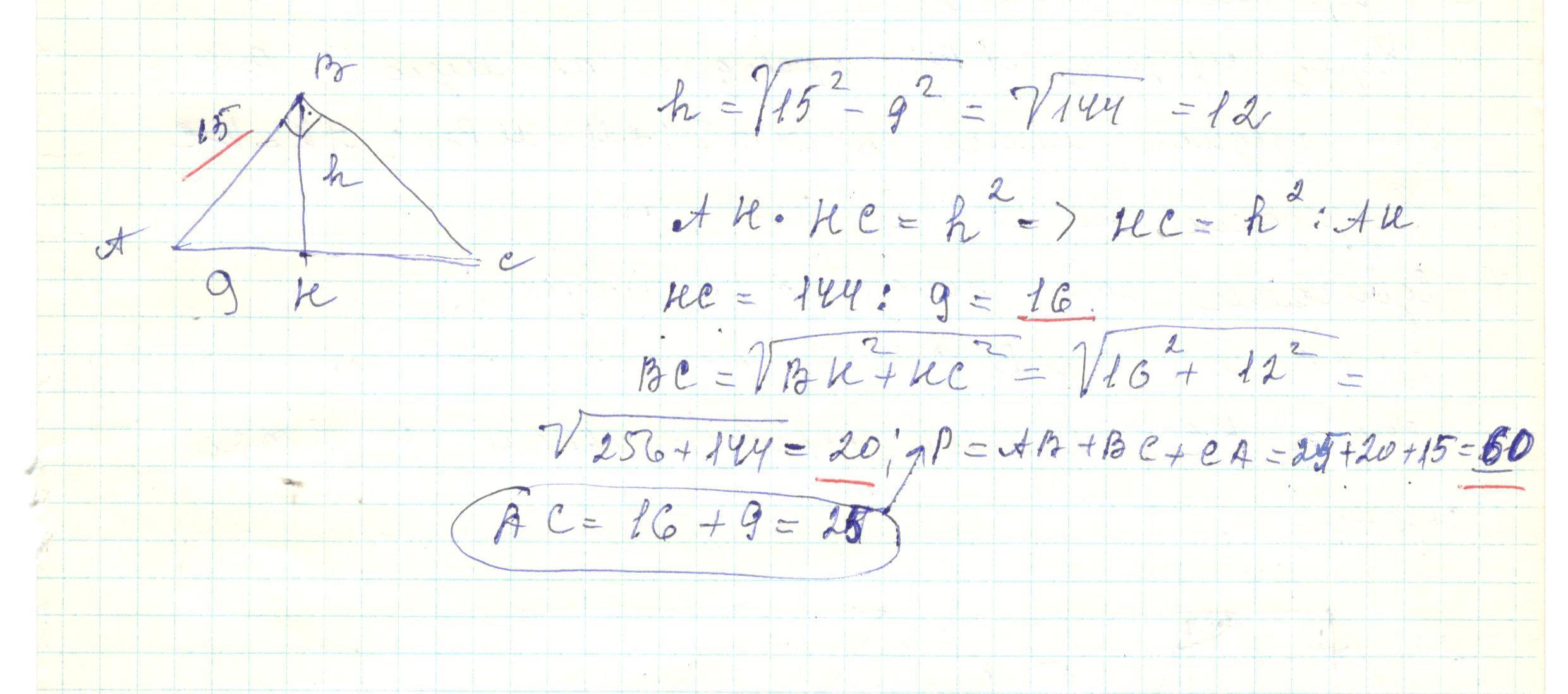
Найдите периметр прямоугольного треугольника, в котором катет равен 15 см, а его проекция на гипотенузу равна 9 см.
Напишите адекватно и распишите. За неправильный ответ отмечу нарушение!
Ответы
Ответ дал:
0
Решение в приложении
Приложения:

Ответ дал:
0
Спасибо
Вас заинтересует
2 года назад
2 года назад
3 года назад
3 года назад
9 лет назад
9 лет назад
9 лет назад
9 лет назад