• Предмет: Алгебра
  • Автор: Аноним
  • Вопрос задан 8 лет назад

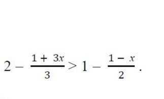
Найдите наибольшее целое решение неравенства срочно надо помогите

Приложения:

Ответы

Ответ дал: xtoto
0
2-frac{1+3x}{3} textgreater  1-frac{1-x}{2}\\
frac{1-x}{2}-frac{1+3x}{3}+1 textgreater  0\\
frac{3*(1-x)-2*(1+3x)+2*3}{2*3} textgreater  0\\
3-3x-2-6x+6 textgreater  0\\
-9x+7 textgreater  0\\
-9x textgreater  -7\\
9x textless  7\\
x textless  frac{7}{9}\\
xin(-infty; frac{7}{9})\\

И наибольшее целое решение это 0
Вас заинтересует