• Предмет: Математика
  • Автор: smithalesmith
  • Вопрос задан 8 лет назад

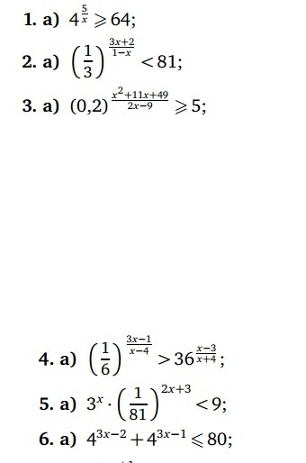
Даю сорок баллов за подробное решение неравенств.

Приложения:

Ответы

Ответ дал: Simba2017
0
/............................................................
Приложения:
Вас заинтересует