• Предмет: Алгебра
  • Автор: Олма
  • Вопрос задан 11 лет назад

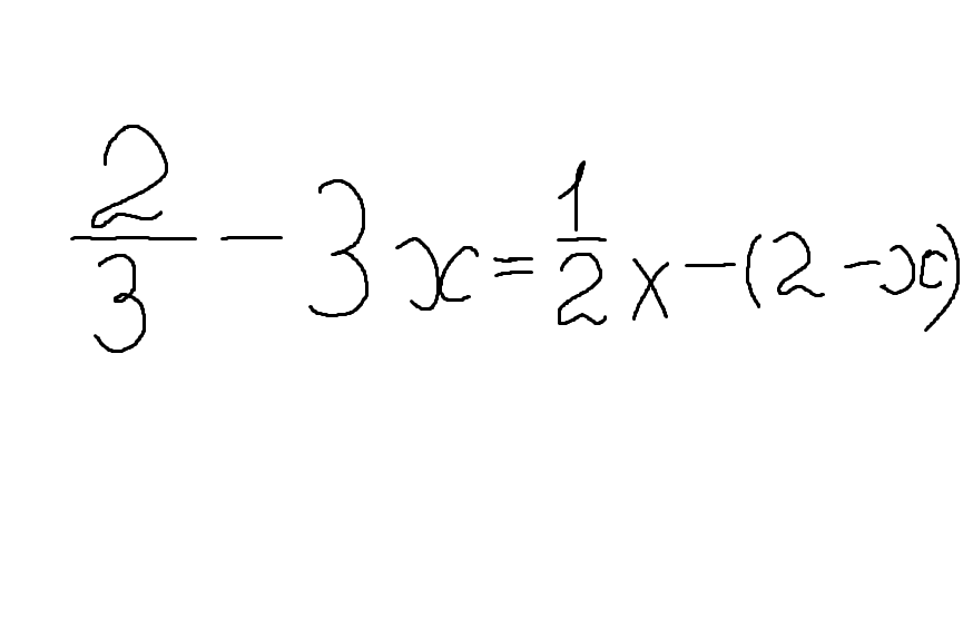
решите уравнение данное ниже ОЧЕНЬ НУЖНО!!!!!!

Приложения:

Ответа на этот вопрос пока нет. Попробуйте найти его через форму поиска.

Вас заинтересует