• Предмет: Математика
  • Автор: svetaTOP2005
  • Вопрос задан 9 лет назад

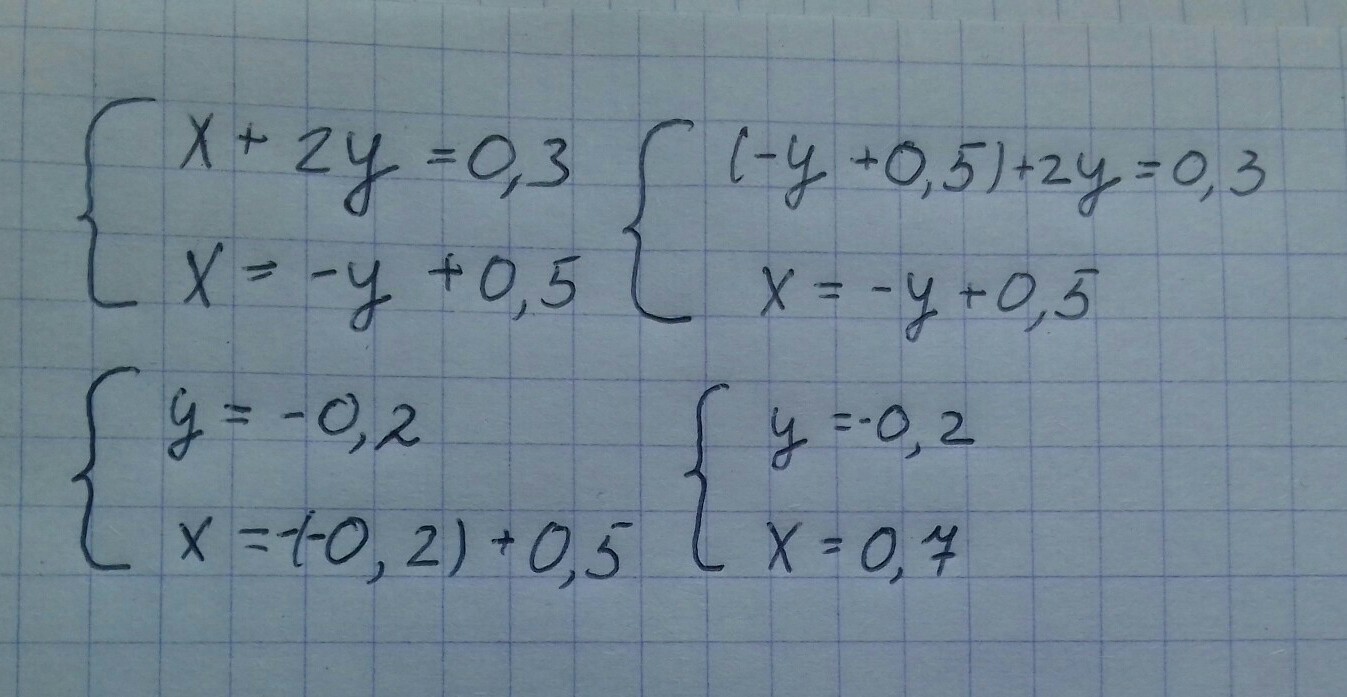
Найди решение систем уравнений: {х+2у=0,3 {х=-у+0,5

Ответы

Ответ дал: Dмитрuй
0
Если помог, отметь ответ, тебе несложно, мне приятно)
Счастья и удачи
Приложения:
Вас заинтересует