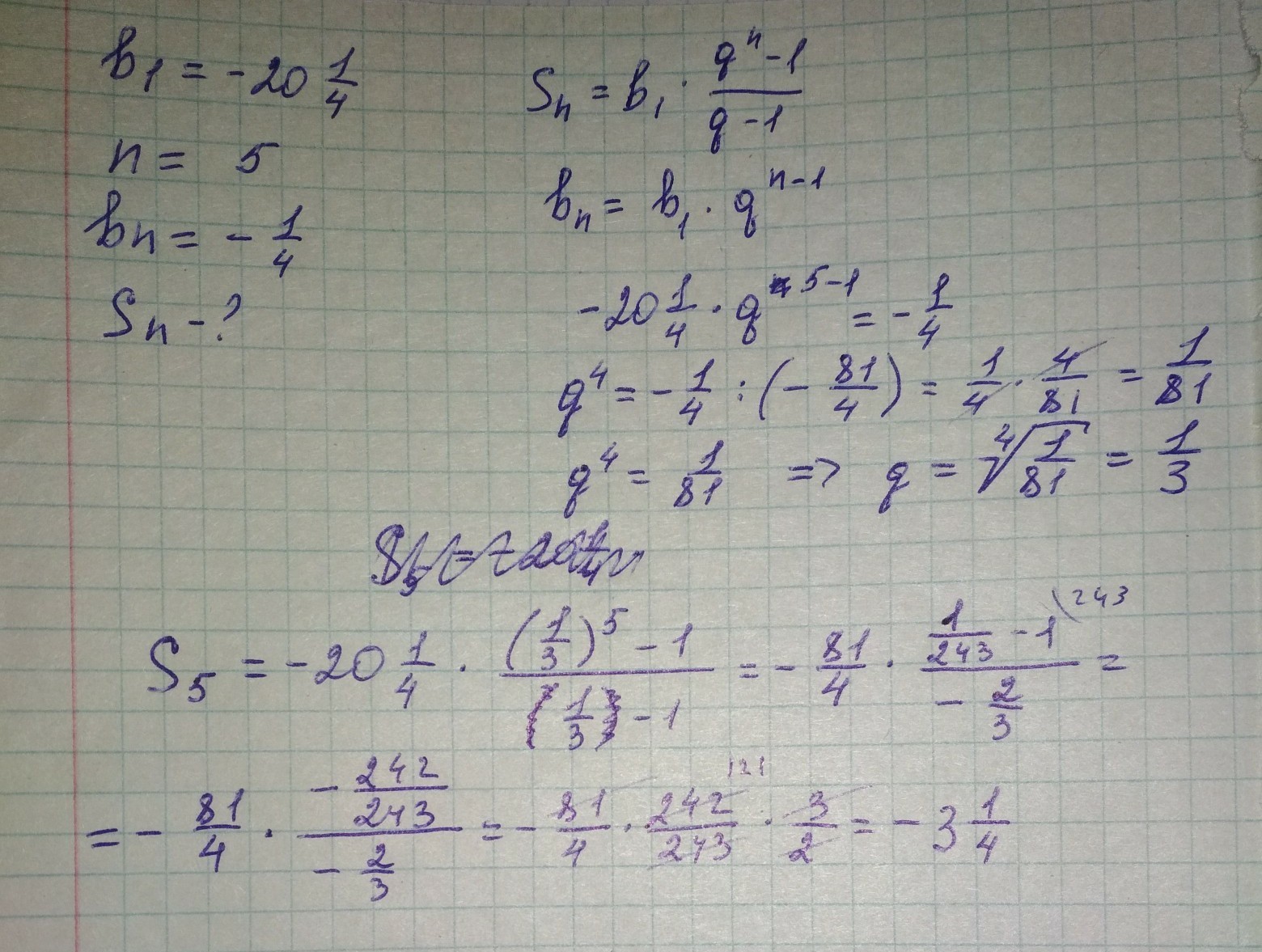
определить знаменатель и сумму членов геометрической прогрессии , в которой b1=-20 1/4, n=5,bn=-1/4
Ответы
Ответ дал:
0
Давно не решал геометрическую прогрессию. Но вроде все верно. Если есть возможность сравни с ответом.
Приложения:

Вас заинтересует
2 года назад
2 года назад
3 года назад
9 лет назад