Помогите пожалуйста!
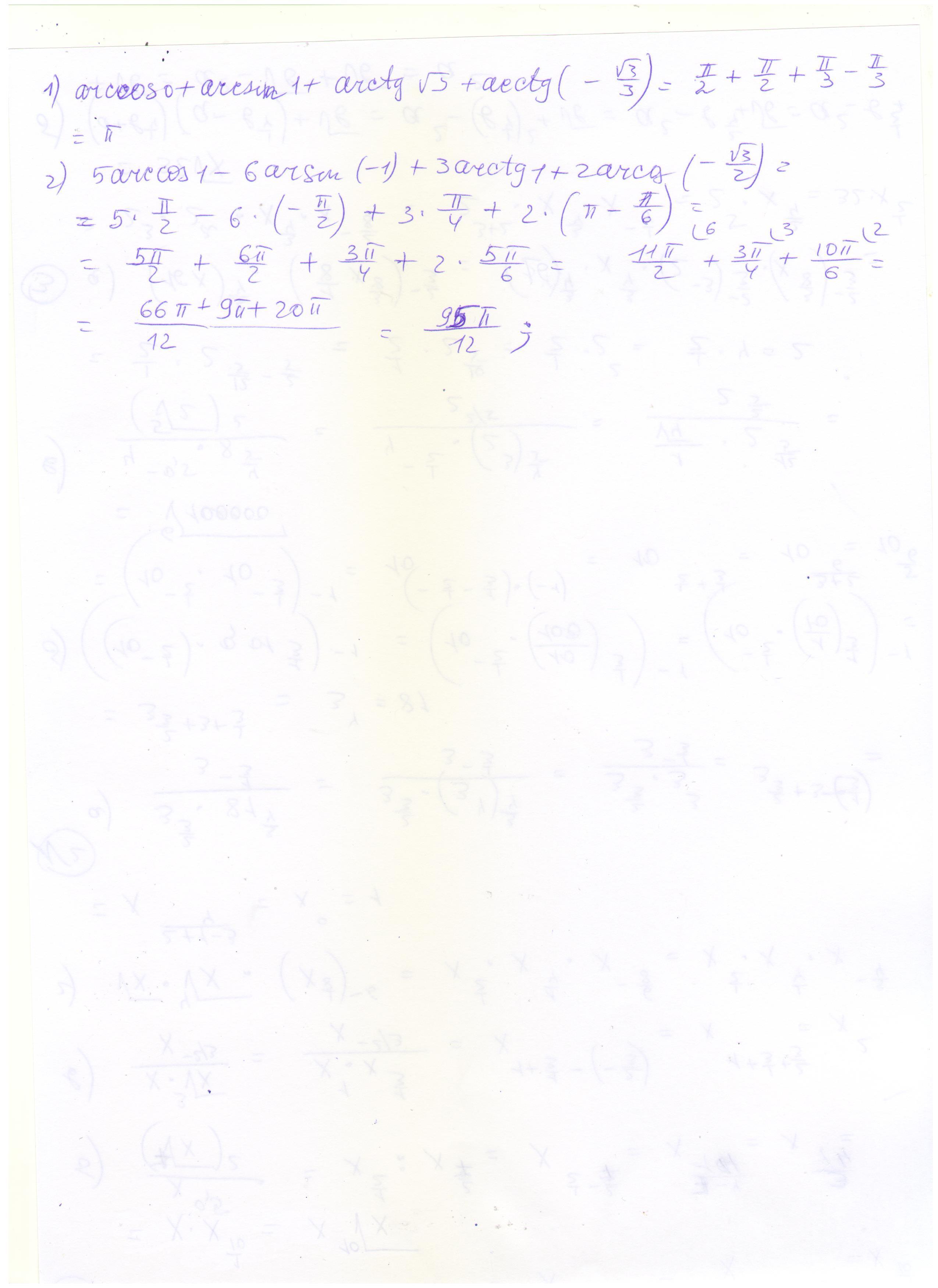
1) arccos 0+ arcsin 1 + arctg √3 + arcctg (-√3/3)
2) 5 arccos 1 - 6 arcsin (-1) + 3 arctg 1 + 2 arccos (-√3/2)
Ответы
Ответ дал:
0
Смотри приложенное решение
Приложения:

Ответ дал:
0
Спасибо~
Вас заинтересует
2 года назад
3 года назад
3 года назад
9 лет назад
9 лет назад
9 лет назад
9 лет назад