• Предмет: Алгебра
  • Автор: akkkkk2
  • Вопрос задан 8 лет назад

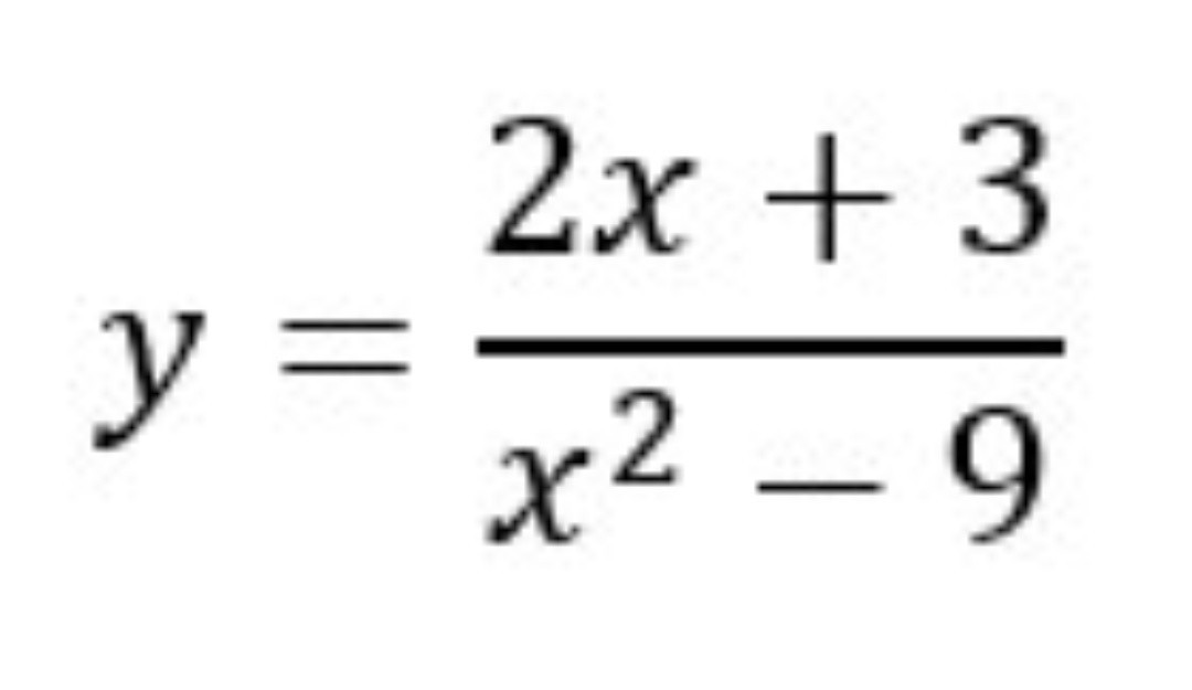
НАЙТИ горизонтальные и вертикальные пределы + график и решение

Приложения:

Ответа на этот вопрос пока нет. Попробуйте найти его через форму поиска.

Вас заинтересует