• Предмет: Алгебра
  • Автор: PlayWithSERCH
  • Вопрос задан 8 лет назад

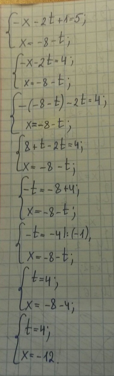
Реши систему уравнений методом подстановки.

Приложения:

Ответы

Ответ дал: ХЕЛИКОПТЕР
0
Вот решение системы способом подстановки. Удачи :)
Приложения:
Вас заинтересует