Ответы
Ответ дал:
0
О нет! Что-то пошло не так во время добавления ответа
Ответ не может быть пустым
Ответ не может быть пустым
Приложения:
Ответ дал:
0
там -9 поэтому нет решений
Ответ дал:
0
Спасыби
Ответ дал:
0
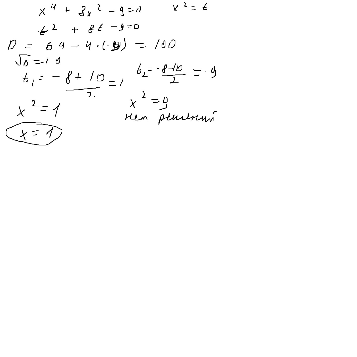
Это биквадратное уравнение. Решаем с помощью замены переменной.
x⁴+8x²-9=0
Пусть m² = x.
m²+8x-9 = 0.
D = b²-4ac.
D = 8² - 4·1·(-9) = 64+36 = 100 = 10².
D > 0.

Вернёмся к замене:
x² = 1 или x² = -9
x = 1 нет корней
Ответ: 1
x⁴+8x²-9=0
Пусть m² = x.
m²+8x-9 = 0.
D = b²-4ac.
D = 8² - 4·1·(-9) = 64+36 = 100 = 10².
D > 0.
Вернёмся к замене:
x² = 1 или x² = -9
x = 1 нет корней
Ответ: 1
Приложения:
Вас заинтересует
2 года назад
2 года назад
3 года назад
3 года назад
9 лет назад
10 лет назад