Ответы
Ответ дал:
0
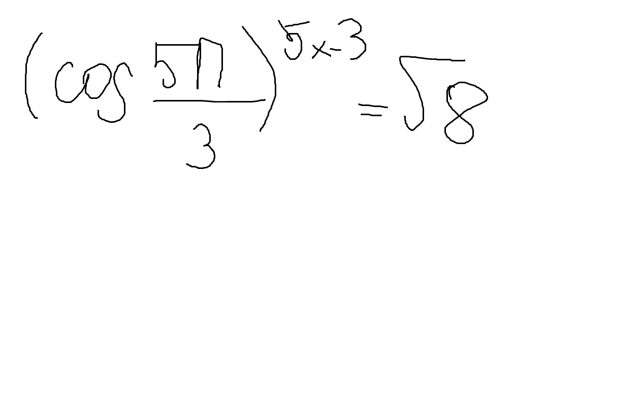
cos(5pi/3)^(5x-3)=k2(8)
cos(2pi-pi/3)^(5x-3)=cos(pi/3)^(5x-3)=(1/2)^(5x-3)=2^(3-5x)
k2(8)=k2(2^3)=2^3/2
3-5x=3/2
5x=3/2
x=3/10
cos(2pi-pi/3)^(5x-3)=cos(pi/3)^(5x-3)=(1/2)^(5x-3)=2^(3-5x)
k2(8)=k2(2^3)=2^3/2
3-5x=3/2
5x=3/2
x=3/10
Вас заинтересует
3 года назад
8 лет назад
8 лет назад
11 лет назад
11 лет назад