• Предмет: Математика
  • Автор: карась30
  • Вопрос задан 8 лет назад

Как найти точки экстремума
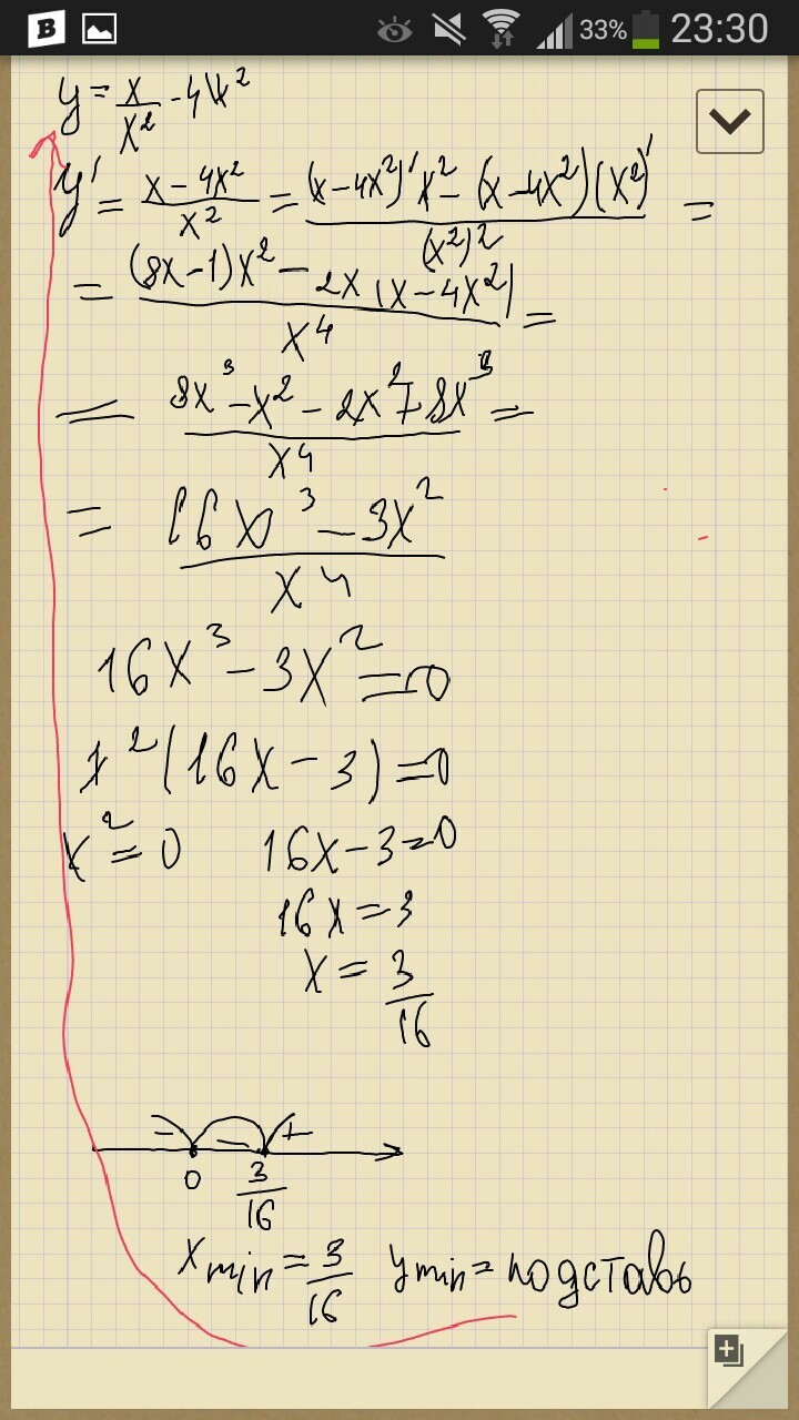
а) у= х / х ^2 - 4
б) у=х ^2 / х^2 - 16
в) у=х ^2 +4 / х^2 - 4
г) у= х / 4-х^2

Ответы

Ответ дал: vvvvu
0
это только а остальные по той же схеме . 1 найти производную функции. 2. приравнять производную к нулю. 3. найти иксы. 4 выставить их в порядке возрастания на оси абсцисс. 5. раставить знаки методом интервалов. 6 найти х мин или х мах. 7 найти у мин и у мах, подставив значения иксов не в производную а в саму функцию

Приложения:
Вас заинтересует