• Предмет: Алгебра
  • Автор: Аноним
  • Вопрос задан 11 лет назад

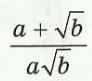
Помогите с алгеброй, 1 пример, задание во вложениях

Приложения:

Ответы

Ответ дал: Artem112
0
 frac{a+ sqrt{b} }{a sqrt{b} }
Подобные не приводятся, сокращения нет
Ответ дал: Аноним
0
Извините то что не написал что тут нужно делать, в этом задании нужно избавиться от иррациональности в знаменателе дроби
Вас заинтересует