• Предмет: Алгебра
  • Автор: Astrumbellum
  • Вопрос задан 8 лет назад

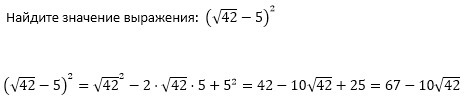
Найдите значение выражения:
(корень из42-5)^2

Ответы

Ответ дал: Нау4пок
0
Решение во вложении.
Приложения:
Вас заинтересует