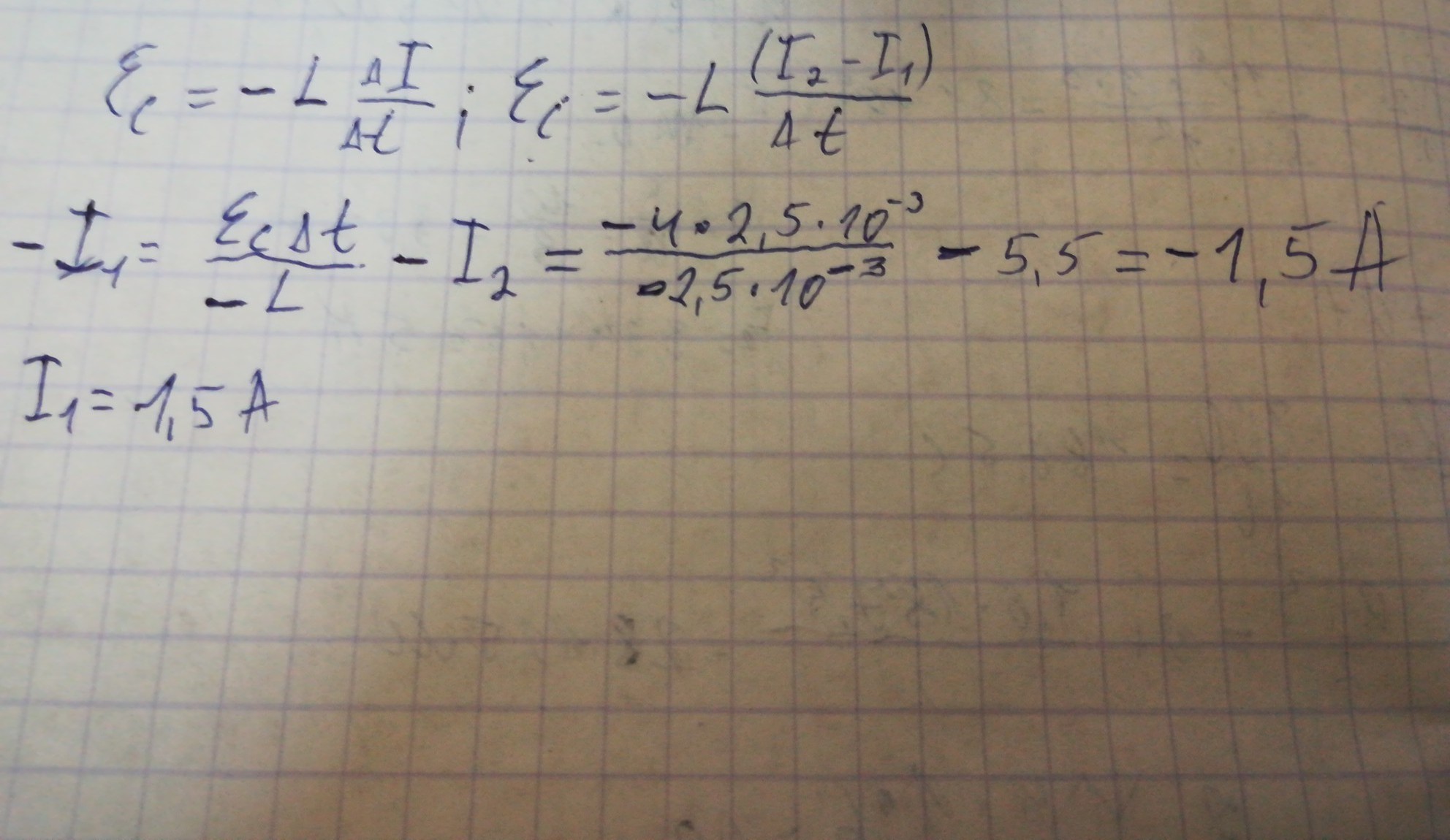
В катушке с индуктивностью L=2.5 мГн в течение промежутка времени t=2.5 мс вследствие увеличения силы тока возникла ЭДС самоиндукции, среднее значение которой -4.0 В. Определите начальное значение силы тока в катушке, если ее конечное значение I2=5.5 А.
Ответы
Ответ дал:
0
вот решение.
............
............
Приложения:

Вас заинтересует
2 года назад
3 года назад
3 года назад
9 лет назад
9 лет назад