Ответы
Ответ дал:
0
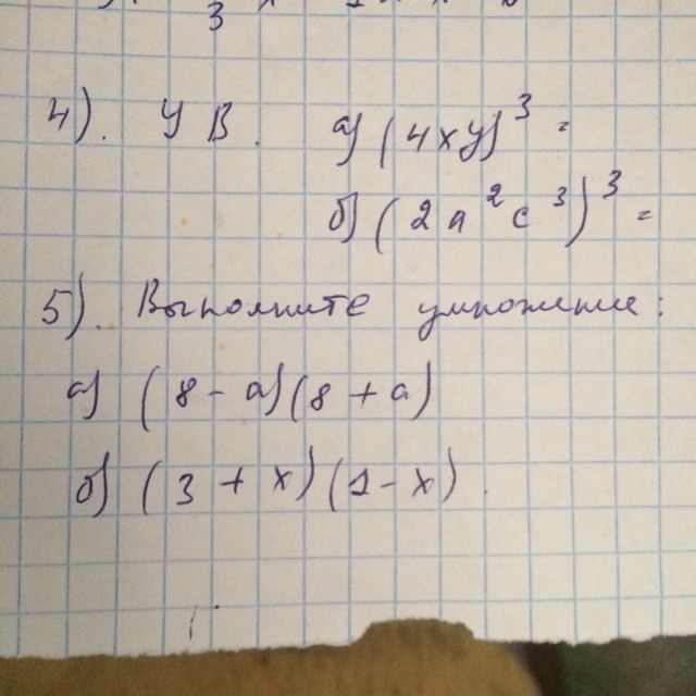
4) (4ху)³=64х³у³
(2а²с³)³=8а∧6с∧9
5) =64-а²
=3-2х-х²
(2а²с³)³=8а∧6с∧9
5) =64-а²
=3-2х-х²
Ответ дал:
0
а) (8-а)(8+а)
8^2 - a^2
64-a^2
б) (3+х)(1-х)
3-3х+х-х^2
3-2х-х^2
-x^2-2x+3
8^2 - a^2
64-a^2
б) (3+х)(1-х)
3-3х+х-х^2
3-2х-х^2
-x^2-2x+3
Вас заинтересует
2 года назад
3 года назад
3 года назад
9 лет назад
9 лет назад
10 лет назад
10 лет назад