• Предмет: Алгебра
  • Автор: lerapolovodova
  • Вопрос задан 8 лет назад

Помогите пожалуйста нужно упростить выражение

Приложения:

Ответы

Ответ дал: Нау4пок
0
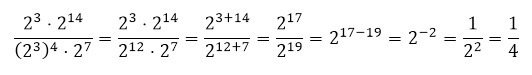
Решение во вложении.
Приложения:
Вас заинтересует