• Предмет: Алгебра
  • Автор: zhenyayatskovp9cgzu
  • Вопрос задан 8 лет назад

Срочно! (a+3b)^2=
Решите плиз !!

Ответы

Ответ дал: Trofimkirillov
0
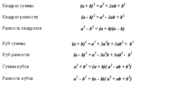
(a+3b)²=(a)²+2*a*3b+(3b)²=a²+6ab+9b²
И формулы напоследок
Приложения:
Ответ дал: zhenyayatskovp9cgzu
0
Спасибо
Ответ дал: Trofimkirillov
0
Отметь как лучший
Ответ дал: ЯгодкаЯлесная
0
фоточка тебе в помощь ;)
Приложения:
Вас заинтересует