• Предмет: Математика
  • Автор: 2gunov
  • Вопрос задан 8 лет назад

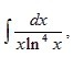
Решить один интеграл по скриншоту

Приложения:

Ответы

Ответ дал: 11qqaa
0
∫ dx / (x*ln^4(x)) = -1 / (3*ln^3(x)) + C
Ответ дал: 11qqaa
0
лучшее решение
Ответ дал: 11qqaa
0
пиши здесь ссылки на твои задания. решу.
Ответ дал: 2gunov
0
https://znanija.com/task/29245596 ))))
Ответ дал: 11qqaa
0
самое лучшее решение
Ответ дал: 11qqaa
0
самое самое лучшее решение
Вас заинтересует
3 года назад