• Предмет: Математика
  • Автор: таня555555
  • Вопрос задан 11 лет назад

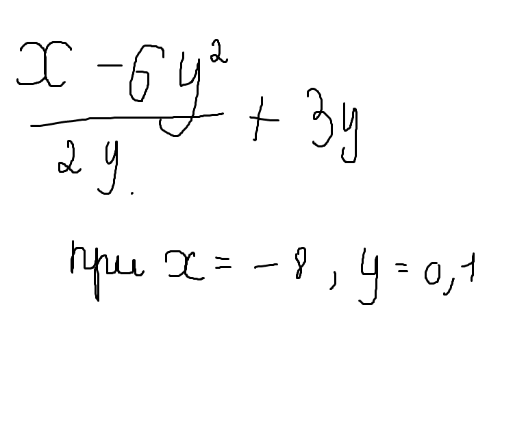
Найдите значение выражения

Приложения:

Ответы

Ответ дал: samotugaa
0
((х2-6у2)/2у)+3у=((х2-6у2)/2у)+6у2/2у=(х2-6у2+6у2)/2у=х2/2у, -8*(-8)/(0,1*2)=64/0,2=640/2=320
Вас заинтересует