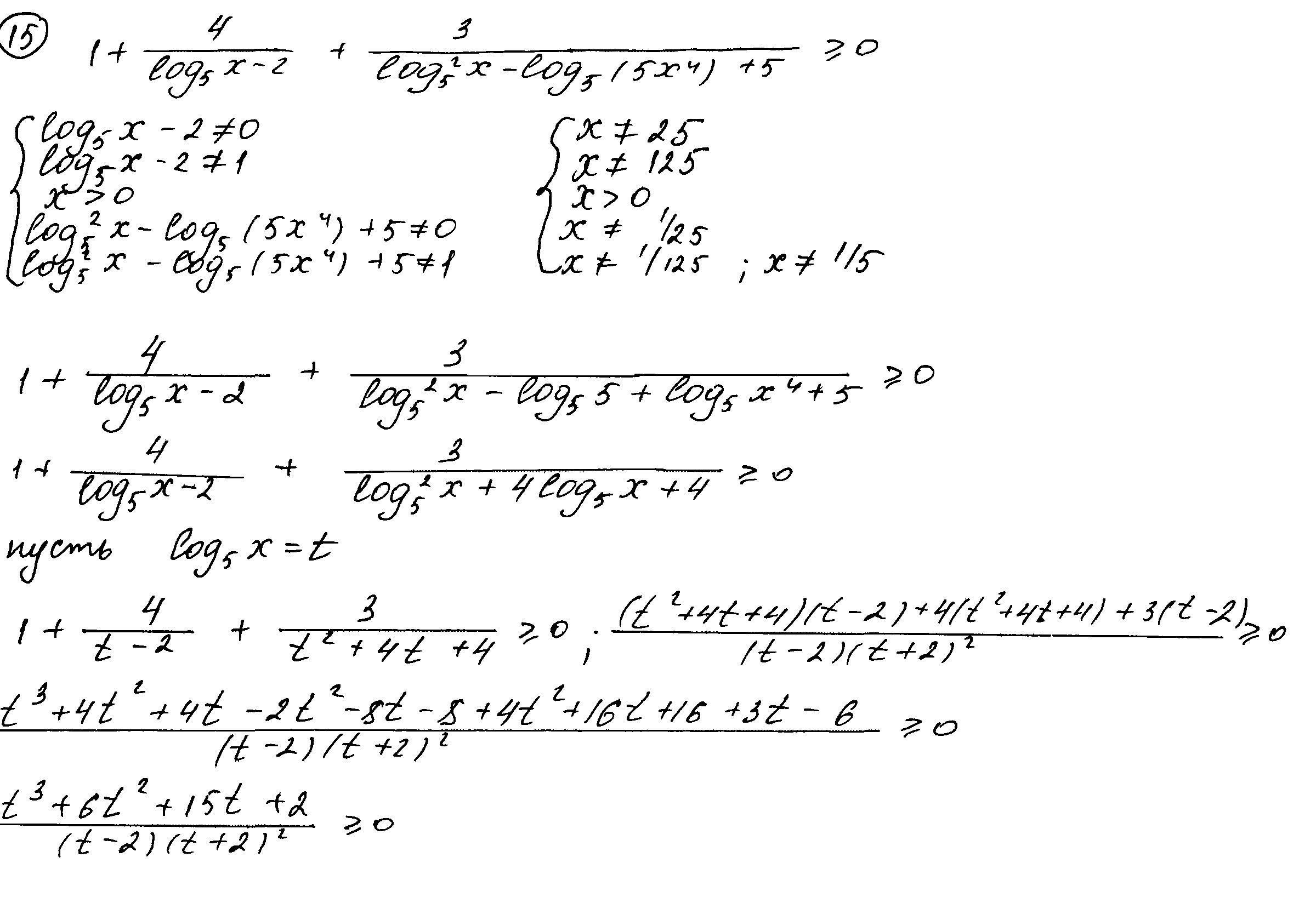
помогите с 15 заданием по профильной матеше, объясните где у меня ошибка и доделайте, буду благодарна
Приложения:

Ответы
Ответ дал:
0
!!!!!!!!!!!!!!!!!!!!!
Приложения:



Ответ дал:
0
Здравствуйте, помогите пожалуйста с алгеброй! Вот ссылки: 1) https://znanija.com/task/29253384 2) https://znanija.com/task/29253385 3) https://znanija.com/task/29253390
Вас заинтересует
2 года назад
2 года назад
3 года назад
3 года назад
9 лет назад
9 лет назад