• Предмет: Математика
  • Автор: noloshov
  • Вопрос задан 8 лет назад

Помогите срочно!!!!!!!

Приложения:

Ответы

Ответ дал: сок111213
0
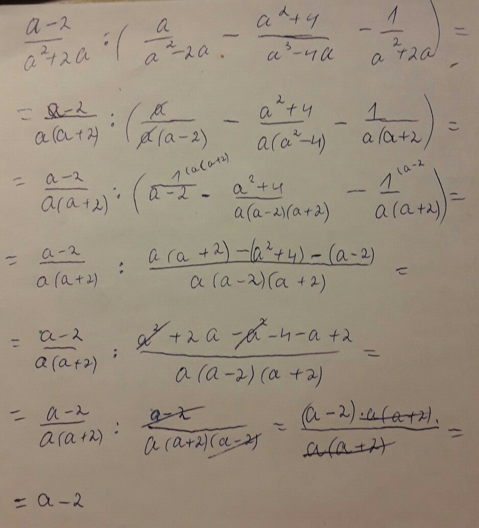
Решение на фотографии
Приложения:
Вас заинтересует