• Предмет: Математика
  • Автор: bobykin01
  • Вопрос задан 8 лет назад

Помогите пожалуйчиа, быстреее

Приложения:

Ответы

Ответ дал: artalex74
0
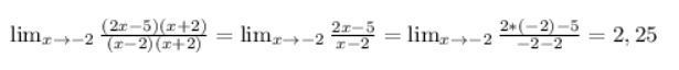
 lim_{x to -2}  frac{(2x-5)(x+2)}{(x-2)(x+2)}  =  lim_{x to -2}  frac{2x-5}{x-2} = lim_{x to -2}  frac{2*(-2)-5}{-2-2} =2,25
Приложения:
Вас заинтересует