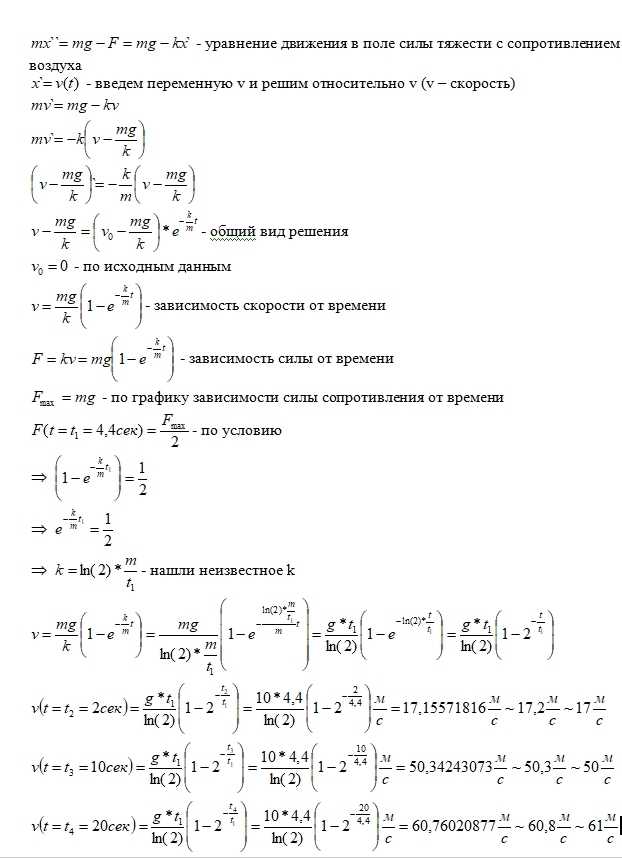
На графике показана сила сопротивления воздуха, действующая на десантника, перед открытием парашюта в зависимости от времени. вычислить скорость полета десантника в моменты времени 2 секунды, 10 секунд, 20 секунд. считать что сила сопротивления воздуха равна половине от максимального значения в момент времени t1 = 4,4 сек. считать что сила сопротивления прямо пропорциональна скорости. считать, что g = 10 m / s ^ 2. считать что десантник прыгал с достаточно большой высоты и открытие парашюта после 20-й секунды не угрожало его здоровью )))
Приложения:
Ответы
Ответ дал:
0
решение во вложении,
прилагаю рисунок и исходник )))
прилагаю рисунок и исходник )))
Приложения:
Ответ дал:
0
Супер! А я, увы, в готовом не могу разобраться. Правдоподобно. Лучше бы, если в условии не было слов: "считать что сила сопротивления воздуха равна половине от максимального значения в момент времени t1 = 4,4 сек." Можно было догадаться.
Ответ дал:
0
точнее было бы написать "считать что сила сопротивления воздуха достигает половину от своего максимального значения в момент времени t1 = 4,4 сек."
после драки кулаками не машут.
приношу свои извинения так как я имею отношение к формулировке условия в таком виде
после драки кулаками не машут.
приношу свои извинения так как я имею отношение к формулировке условия в таком виде
Ответ дал:
0
Зачем? Макс сила сопр 800 Н и = силе тяж, знач масса 80 кг. Из графика ясно, в какой момекнт сила сопр = половине.
Ответ дал:
0
график нечеткий, возможны разночтения, 4 сек; 4,5 сек; 4,3 сек. от этого "поплывет" ответ
Ответ дал:
0
Не более, чем от g.
Вас заинтересует
2 года назад
3 года назад
10 лет назад