• Предмет: Алгебра
  • Автор: 128sd
  • Вопрос задан 8 лет назад

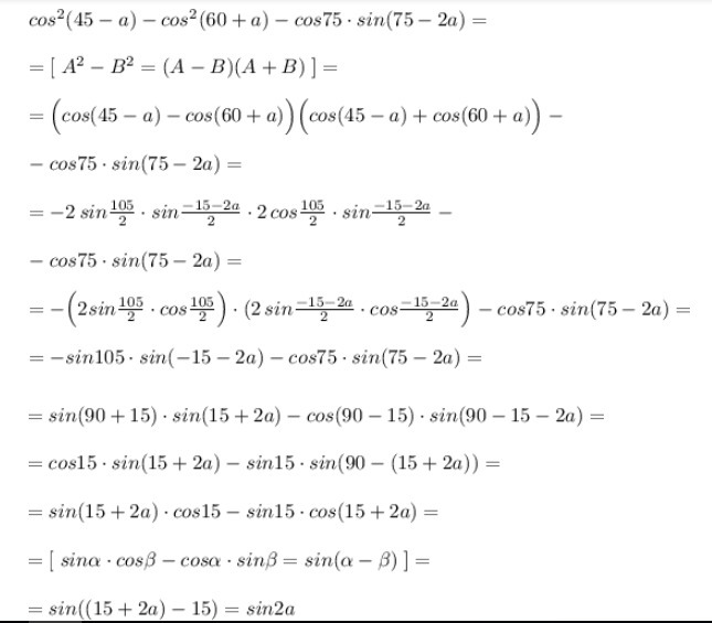
Докажите тождество. Помогите

Приложения:

Ответы

Ответ дал: NNNLLL54
0
.................................................................................................................................................
Приложения:
Вас заинтересует