Число -22 является членом арифметической прогрессии 44;38;32;... Найдите номер этого члена (желательно на листочке) заранее спасибо
Ответы
Ответ дал:
0
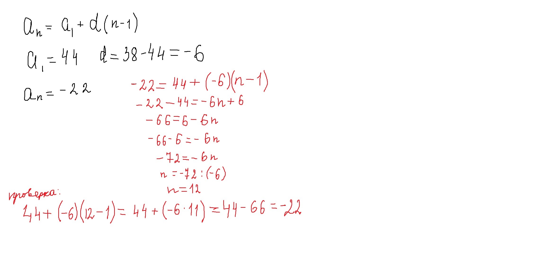
Найдем разность: d=a2-a1=38-44=-6
Теперь подставим все в формулу n -го члена
-22=44-6(n-1)
-22=44-6n+6
6n=44+6+22
6n=72
n=12
Значит, число -22 стоит в этой последовательности под 12 номером
Теперь подставим все в формулу n -го члена
-22=44-6(n-1)
-22=44-6n+6
6n=44+6+22
6n=72
n=12
Значит, число -22 стоит в этой последовательности под 12 номером
Ответ дал:
0
Спасибо)
Ответ дал:
0
решение смотри внизу
Приложения:
Ответ дал:
0
А можете еще с одной задачкой помочь?
Ответ дал:
0
если знаю как решать-помогу.
Ответ дал:
0
https://znanija.com/task/29276404
Вас заинтересует
2 года назад
3 года назад
9 лет назад
10 лет назад