Ответы
Ответ дал:
0
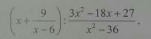
x+9/x-6:3x2-18x+27/x2-36
Приводим к общему знаменателю, вынося за скобки общий множитель.
x2-6x+9/x-6:3(x2-6x+9)/(x-6)(x+6)
Перемножаем, сокращая одинаковые числа.
x2-6x+9/x-6*(x-6)(x+6)/3(x2-6x+9)
Получаем
(x+6)/3
Приводим к общему знаменателю, вынося за скобки общий множитель.
x2-6x+9/x-6:3(x2-6x+9)/(x-6)(x+6)
Перемножаем, сокращая одинаковые числа.
x2-6x+9/x-6*(x-6)(x+6)/3(x2-6x+9)
Получаем
(x+6)/3
Ответ дал:
0
Ответ в фото .........
Вас заинтересует
2 года назад
2 года назад
3 года назад
9 лет назад
10 лет назад
10 лет назад