• Предмет: Математика
  • Автор: darkshaper519
  • Вопрос задан 8 лет назад

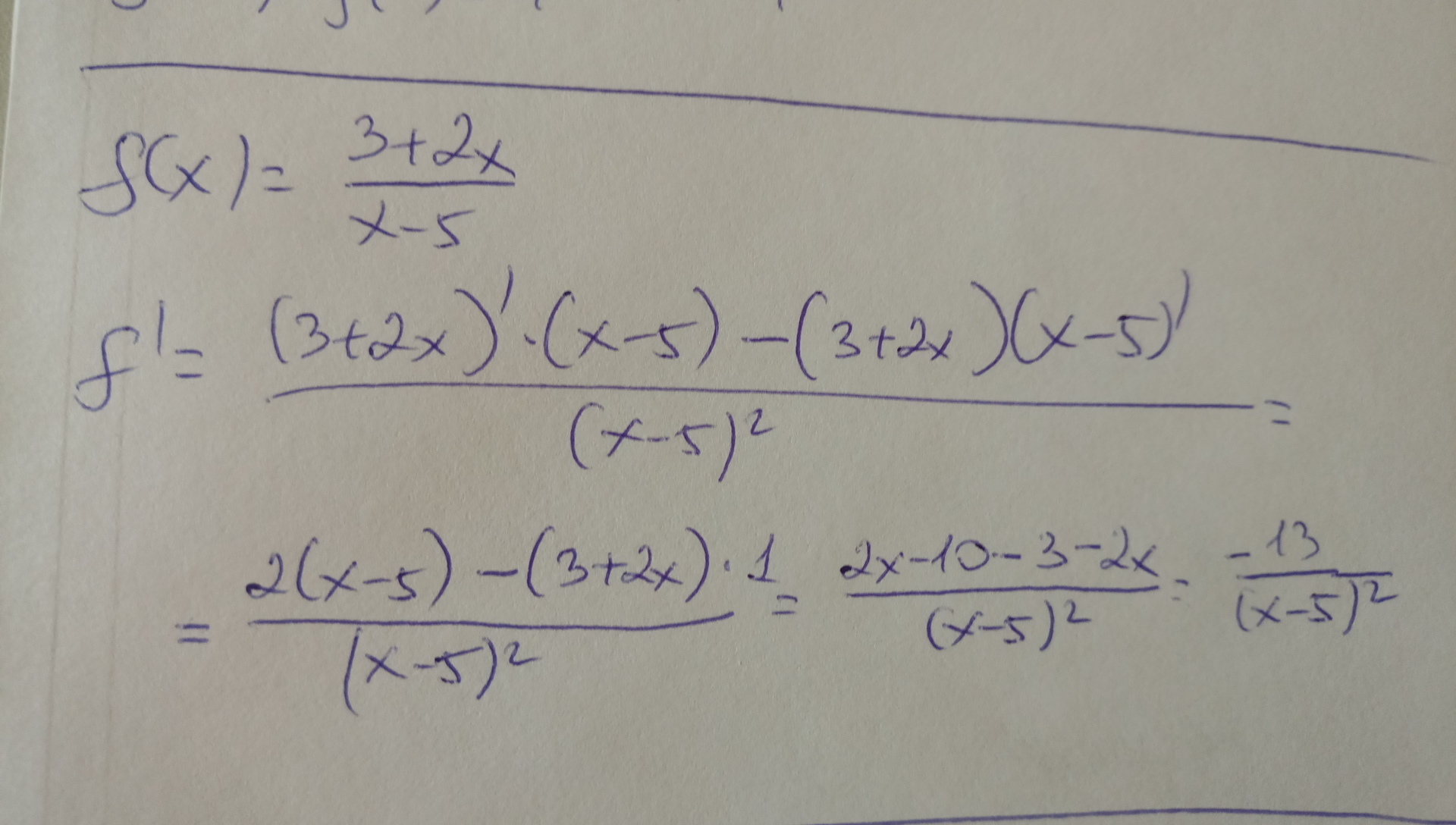
найдите производную функции f(x)=frac{3+2x}{x-5}

Ответы

Ответ дал: inga21yaltap8df66
0
Решение на фотографии ниже
Приложения:
Ответ дал: darkshaper519
0
а сверху прошлое ?)
Вас заинтересует