помогите решить пожалуйста
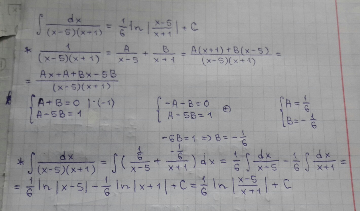
Используя метод неопределенных коэффициентов,найти неопределенный интеграл: интеграл dx/(x-5)(x+1)
Ответы
Ответ дал:
1
Всё решение смотрите на фото
Приложения:
Вас заинтересует
2 года назад
2 года назад
2 года назад
2 года назад
3 года назад
3 года назад
9 лет назад