• Предмет: Математика
  • Автор: ivanovaekateri5
  • Вопрос задан 8 лет назад

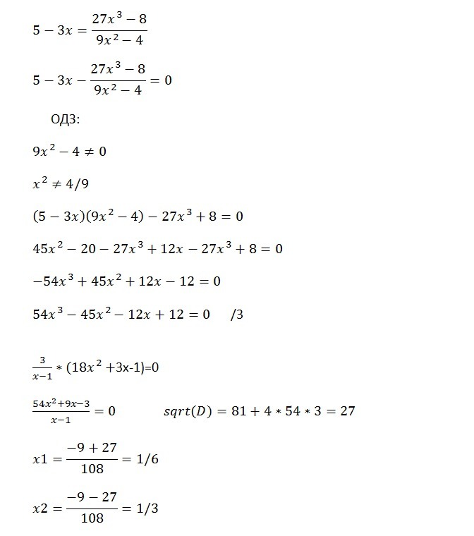
Здравствуйте, проверьте, пожалуйста, ход решения уравнения

Приложения:

Ответы

Ответ дал: Vas61
0
решение получилось немного другое
Приложения:
Вас заинтересует