Ответы
Ответ дал:
0
а) По признаку Даламбера: 

Ряд сходится.
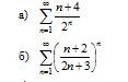
б) По признаку Коши
![displaystyle lim_{n to infty} sqrt[n]{a_n}= lim_{n to infty} sqrt[n]{bigg( frac{n+2}{2n+3}bigg)^n } = lim_{n to infty} frac{n+2}{2n+3}= frac{1}{2} textless 1 displaystyle lim_{n to infty} sqrt[n]{a_n}= lim_{n to infty} sqrt[n]{bigg( frac{n+2}{2n+3}bigg)^n } = lim_{n to infty} frac{n+2}{2n+3}= frac{1}{2} textless 1](https://tex.z-dn.net/?f=displaystyle++lim_%7Bn+to+infty%7D++sqrt%5Bn%5D%7Ba_n%7D%3D+lim_%7Bn+to+infty%7D++sqrt%5Bn%5D%7Bbigg%28+frac%7Bn%2B2%7D%7B2n%2B3%7Dbigg%29%5En+%7D+%3D+lim_%7Bn+to+infty%7D++frac%7Bn%2B2%7D%7B2n%2B3%7D%3D+frac%7B1%7D%7B2%7D+textless++1+++)
Ряд сходится
Ряд сходится.
б) По признаку Коши
Ряд сходится
Вас заинтересует
2 года назад
2 года назад
3 года назад
3 года назад
9 лет назад