• Предмет: Математика
  • Автор: vmayackayaoxm50g
  • Вопрос задан 8 лет назад

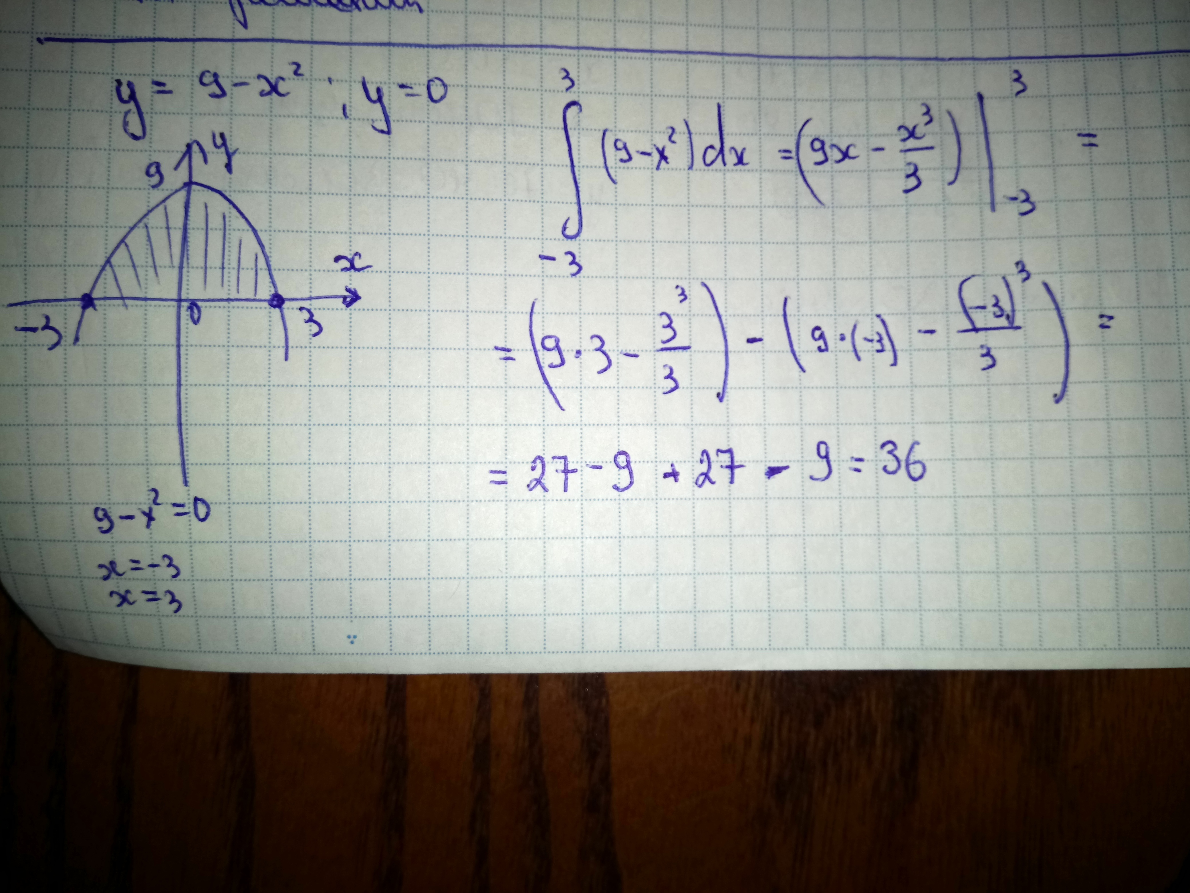
вычислить площадь фигуры,ограниченной линиями:
y = 9 - x², y = 0

Ответы

Ответ дал: valenivan
0
Решение задания приложено
Приложения:
Вас заинтересует