Ответы
Ответ дал:
0
^^^^^^^^^^^^^^^^^^^^
Приложения:

Ответ дал:
0
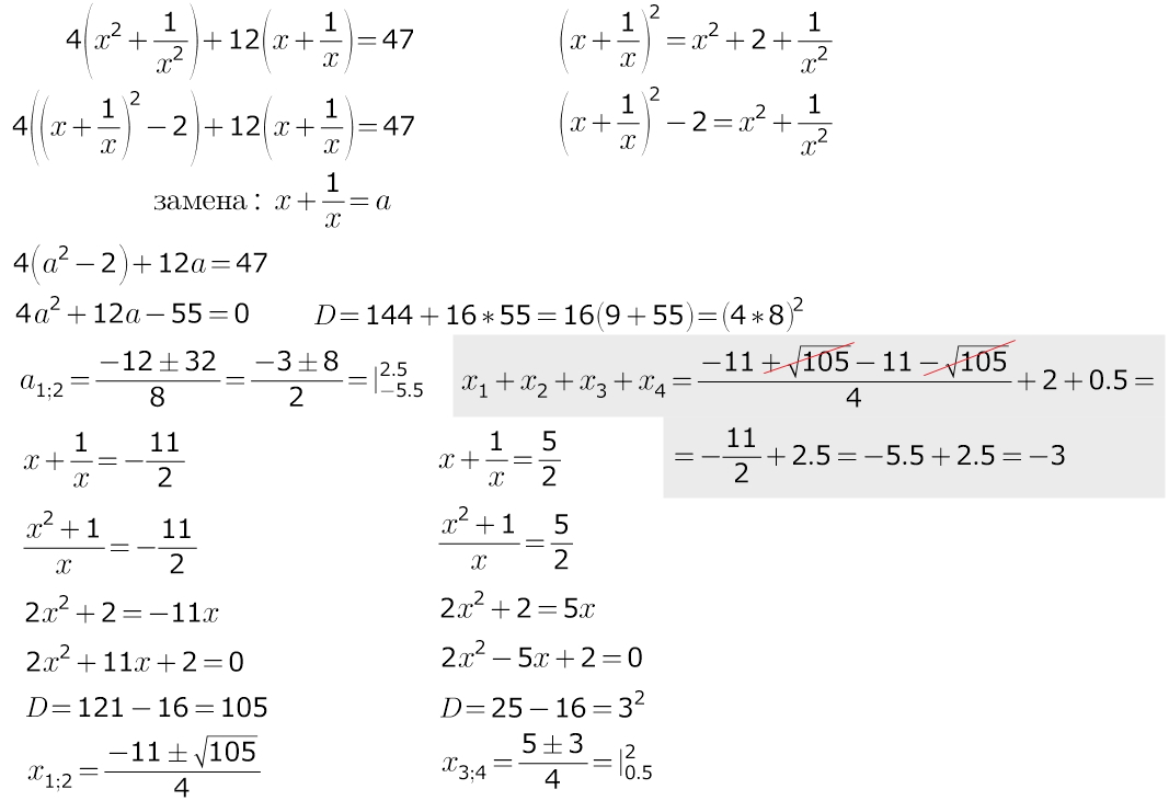
4(у^2-2)+12у-47=0
4у^2-8+12у-47=0
4у^2+12у-55=0
Д=144+880=1024=32^2
у=-12-32/8=-11/2
у=-12+32/8=5/2
х1+х2=-в/а=-11/2
х3+х4=-в/а=5/2
-11/2+5/2=-3
Приложения:

Вас заинтересует
2 года назад
2 года назад
3 года назад
9 лет назад