• Предмет: Математика
  • Автор: nekruzkhalikov2
  • Вопрос задан 8 лет назад

найдите производную функции
y= x^ sin x

Ответы

Ответ дал: artalex74
0

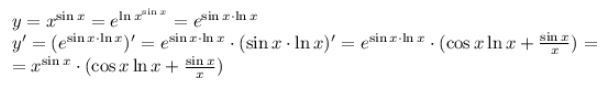
 y=x^{sin x} = e^{ln x^{sin x}}= e^{sin x cdot ln x}\<br />y' = (e^{sin x cdot ln x})' = e^{sin x cdot ln x} cdot (sin x cdot ln x)'= e^{sin x cdot ln x} cdot (cos x ln x +frac{sin x}{x}) =\ <br />= x^{sin x} cdot (cos x ln x +frac{sin x}{x})

Приложения:
Ответ дал: ПрофиЗнания
0

y'=sinx*x^(sinx-1) * sinx ' = sinx *(x^sinx)/x *cosx= sinxcosx * (x^sinx)/x

Приложения:
Вас заинтересует