• Предмет: Математика
  • Автор: kurbankerimhan1
  • Вопрос задан 8 лет назад

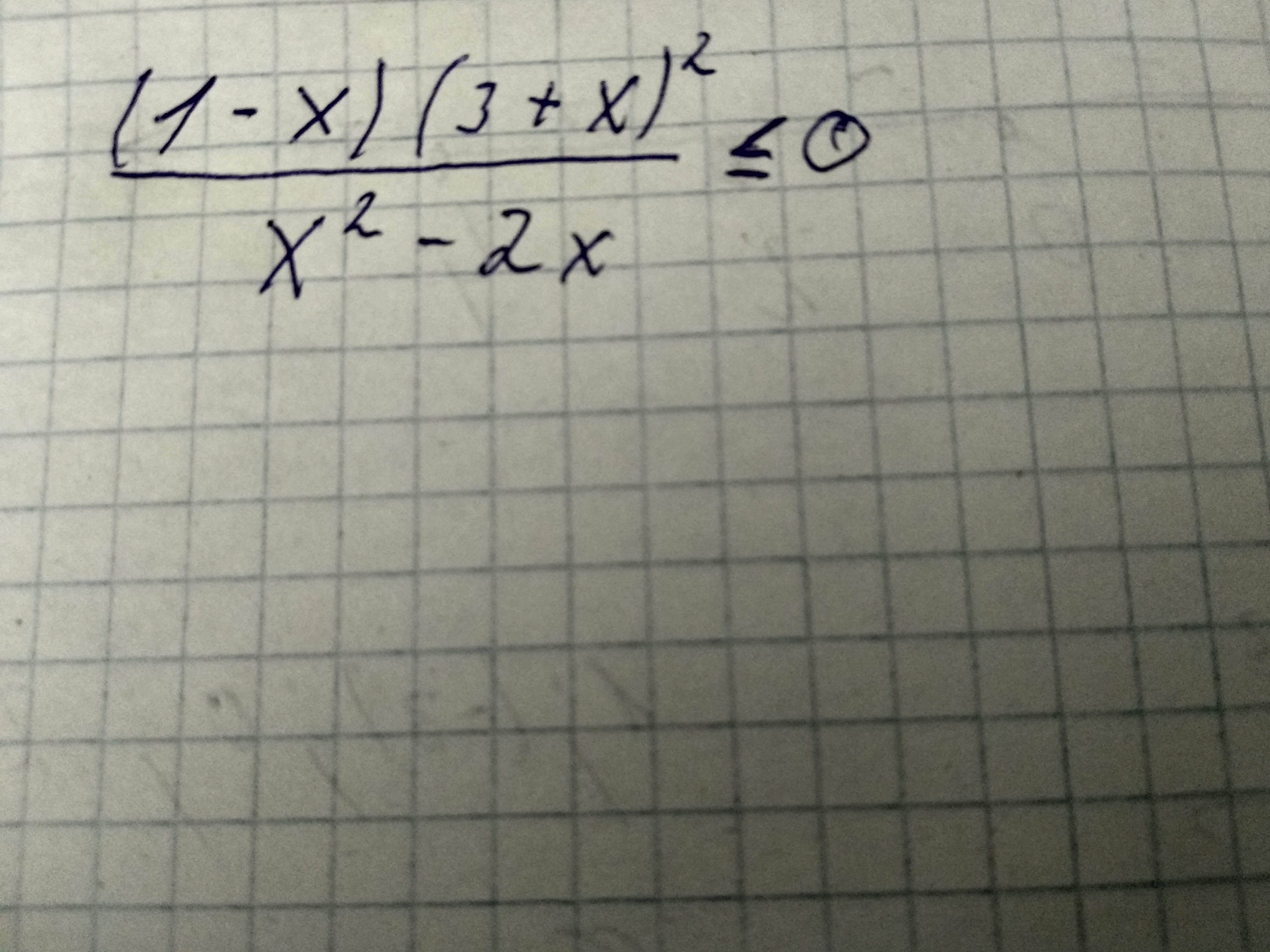
Помогите решить неравенство (методом интервалов)

Приложения:

Ответы

Ответ дал: miron2077
0

!!!!!!!!!!!!!!!!!!!!!!!!!!!!!!!

Приложения:
Ответ дал: NNNLLL54
0
ошибка в знаках
Ответ дал: NNNLLL54
0
(3+x)^2 --> при переходе через х=-3 не будет чередования знаков
Ответ дал: NNNLLL54
0
x= -10 --> (1+10)*13^2/100+20)>0
Ответ дал: Аноним
0
Через х=-3 знак не меняется
Ответ дал: NNNLLL54
0
и я о том же
Ответ дал: NNNLLL54
0

 frac{(1-x)(3+x)^2}{x^2-2x}leq 0; |cdot (-1)\\frac{(x-1)(x+3)^2}{x(x-2)}geq 0\\x_1=1; ,; ; x_2=-3; ,; ; x_3=0; ,; ; x_4=2\\---[-3, ]---(0)+++[, 1, ]---(2)+++\\xin {-3}cup (0,1, ]cup (2,+infty )

Приложения:
Ответ дал: NNNLLL54
0
У меня всё верно.
Ответ дал: Аноним
0
Если взять х=3 то знак будет (-)
Ответ дал: NNNLLL54
0
Проверим. x=3: (3-1)(3+3)^2/3*(3-2)=2*36/3*1>0. Знак считаю не к условию, а к преобразованной дроби во 2 строчке...
Ответ дал: NNNLLL54
0
дописала, чтоб было понятно, что умн. дробь на (-1), и знак поменяли
Ответ дал: Аноним
0
Не заметил...
Вас заинтересует