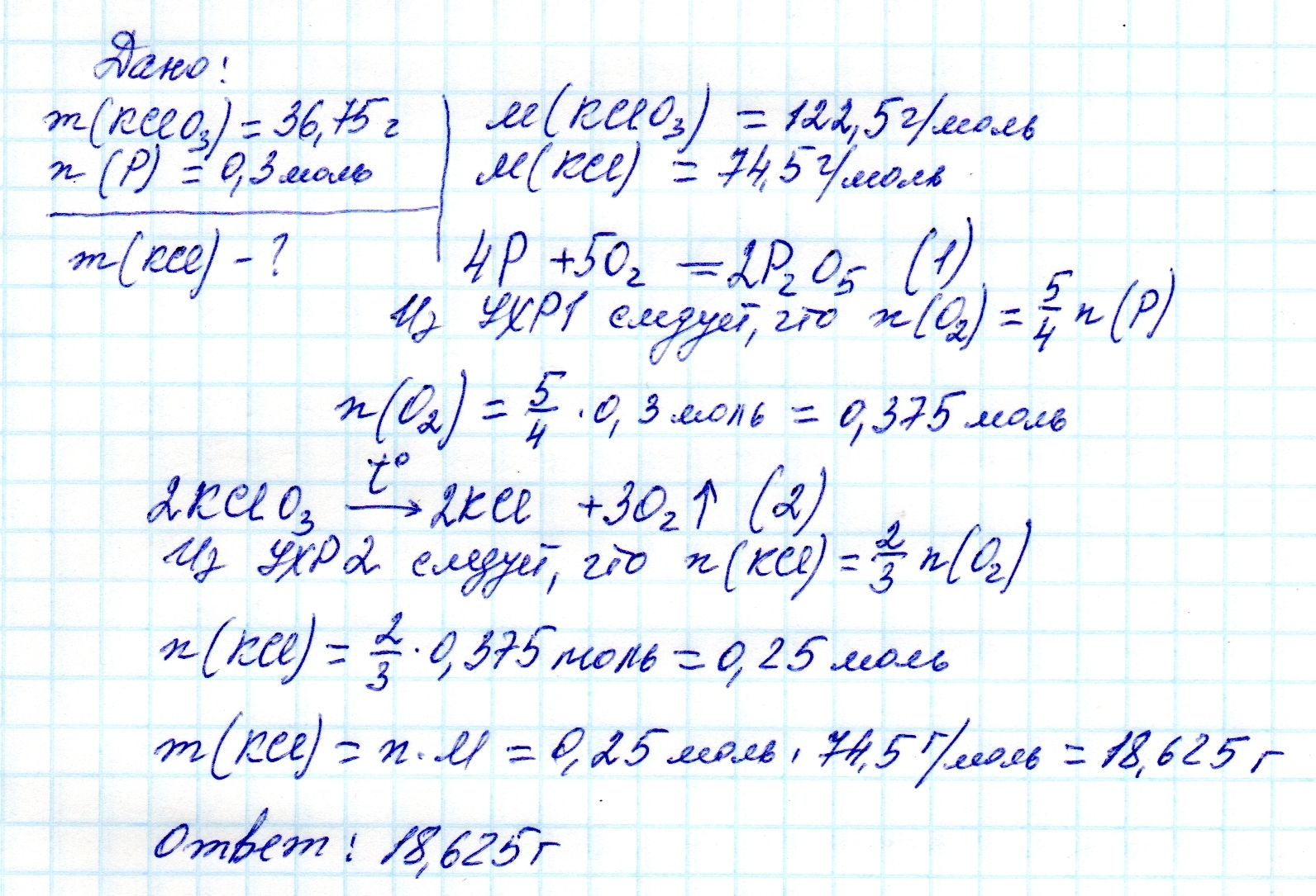
Кисень, який виділився під час неповного термічного розкладу 36.75 калій хлорату витратили на спалювання 0.3моль фосфору. Визначте масу калій хлориду, який одержали під час розкладу калій хлорату.
Ответы
Ответ дал:
0
.....................................................................
Приложения:

Вас заинтересует
2 года назад
2 года назад
3 года назад
9 лет назад
9 лет назад