• Предмет: Математика
  • Автор: AljnaNik
  • Вопрос задан 8 лет назад

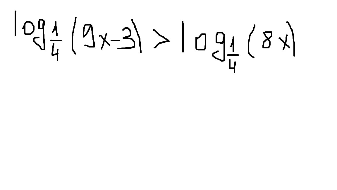
Решить неравенство.
Большое спасибо.

Приложения:

Ответы

Ответ дал: snow99
0

9x - 3 < 8x, знак неравенства меняется, т.к. основание 1/4 < 1

9x - 8x < 3

x < 3


ОДЗ:

9x - 3 > 0

8x > 0


9x > 3

x > 0


x > 1/3

x > 0


x ∈ (1/3; +∞)

x ∈ (-∞; 3)


Объединяем два этих условия: x ∈ (1/3; 3)

Ответ дал: ivanfisa
0
Решение на фото.......
Приложения:
Вас заинтересует