• Предмет: Математика
  • Автор: AljnaNik
  • Вопрос задан 8 лет назад

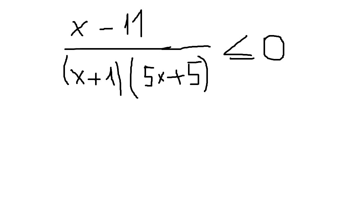
решить неравенство.
Большое спасибо.

Приложения:

Ответы

Ответ дал: ivanfisa
0
Решение на фото.......
Приложения:
Вас заинтересует