• Предмет: Алгебра
  • Автор: lericogo
  • Вопрос задан 8 лет назад

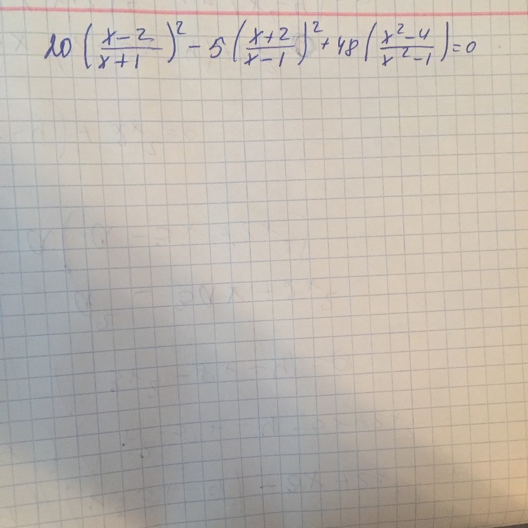
Решите уравнение
Что-то нужно заменить новой переменной, не понимаю

Приложения:

Ответы

Ответ дал: spasibo3pajbrh
0
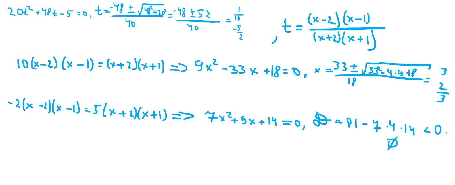
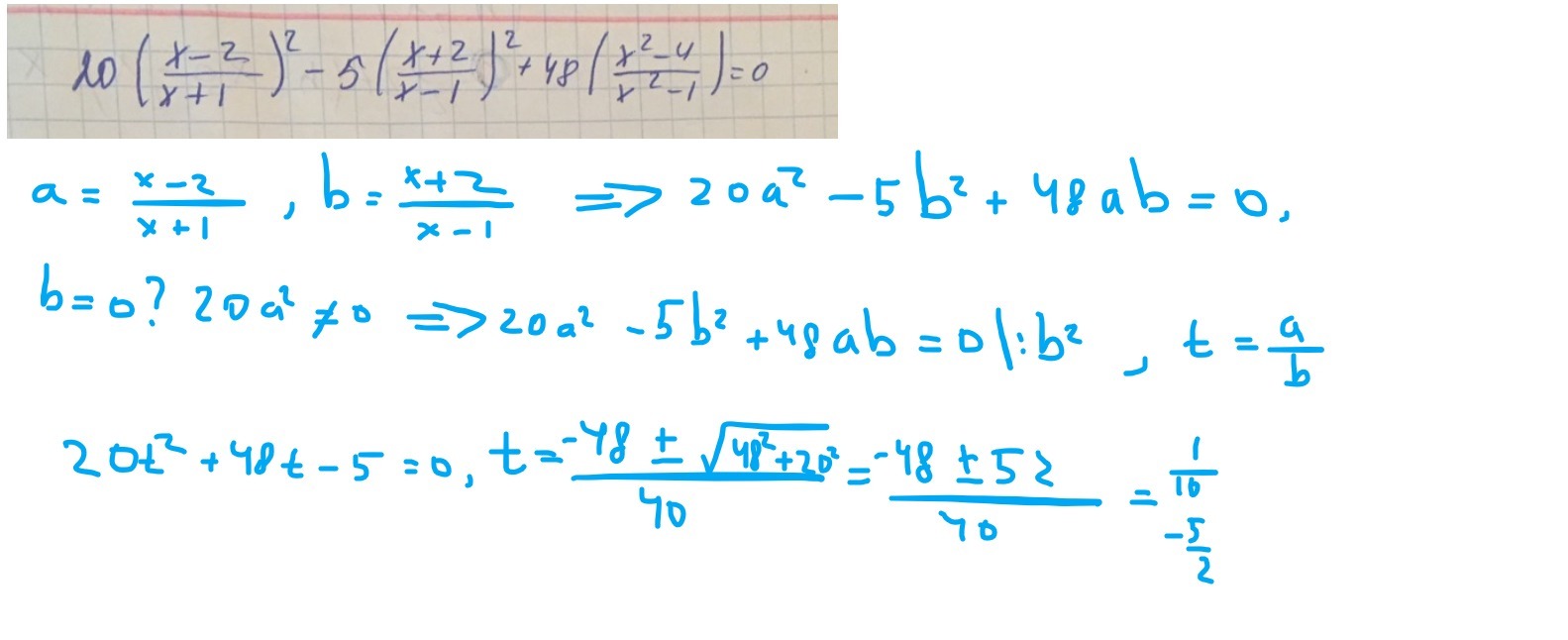
Как ввести новую переменную, я указал на фото. Решение в результате свелось к квадратным уравнениям. Главное не забыть в конце проверить область определения.
Приложения:
Ответ дал: Indentuum
0

Решение в приложении ниже:

Приложения:
Вас заинтересует