• Предмет: Алгебра
  • Автор: 1Kis
  • Вопрос задан 8 лет назад

Нужна срочная помощь, ребята!!

Приложения:

Ответы

Ответ дал: spasibo3pajbrh
0
ответы
1. (2)y=2,5
2.(2) x= -3
Приложения:
Ответ дал: Аноним
0

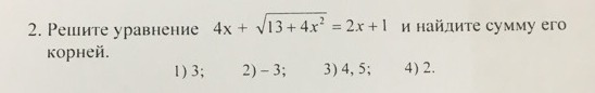
2.

Перенести неизвестную в правую часть и сменить её знак на противоположный:

 sqrt{13+4x^{2}} =2x+1-4x;

Привести подобные члены:

 sqrt{13+4x^{2}} =-2x+1;

Возвести в квадрат обе части уравнения,чтобы избавится от иррациональности(корня):

13+4x²=1-4x+4x²;

Сократить равные члены обеих частей уравнения:

13=1-4x;

Перенести неизвестную в левую часть,а постоянную в правую и сменить их знаки на противоположные:

4x=1-13;

Вычислить разность:

4x=-12;

Разделить обе стороны уравнения на 4:

x=-3;

Проверить,является ли данное значение решением уравнения:

4(-3)+ sqrt{13+4(-3)^{2}} =2(-3)+1;

Упростить равенство:

-5=-5;

Равенство верно,следовательно, x=-3 является решением уравнения.

Ответ:2

Приложения:
Ответ дал: Аноним
0
На некоторых уровнях для то,чтобы поднять статус,к примеру,с хорошиста на умного необходимо набрать нужное количество именно лучших ответов,а не баллов.Вот почему.
Ответ дал: spasibo3pajbrh
0
Понятно, а что дает этот статус. хайп? или считаться великой умницей? я как-то не заморачиваюсь по этому поводу.
Ответ дал: Аноним
0
Чем выше твой статус,тем доверительней к твоему ответу относятся.
Ответ дал: spasibo3pajbrh
0
ну вот я и не понимаю, зачем это Вам? доверительней, и что? нет, решительно не понимаю я этот "синдром отличников". ну если нравится, конечно, вольному воля.;) Я тут встречал с самым высоким статусом, но полуграмотных, которые жи-ши через Ы пишут. ну да, к их статусу относятся доверительно, а толку-то,пустота внутри, хайп снаружи. Простите, всё равно не понял. Но от всей души желаю самого высокого статуса, если это греет душу.
Ответ дал: Аноним
0
Спасибо
Вас заинтересует