Ответы


3.
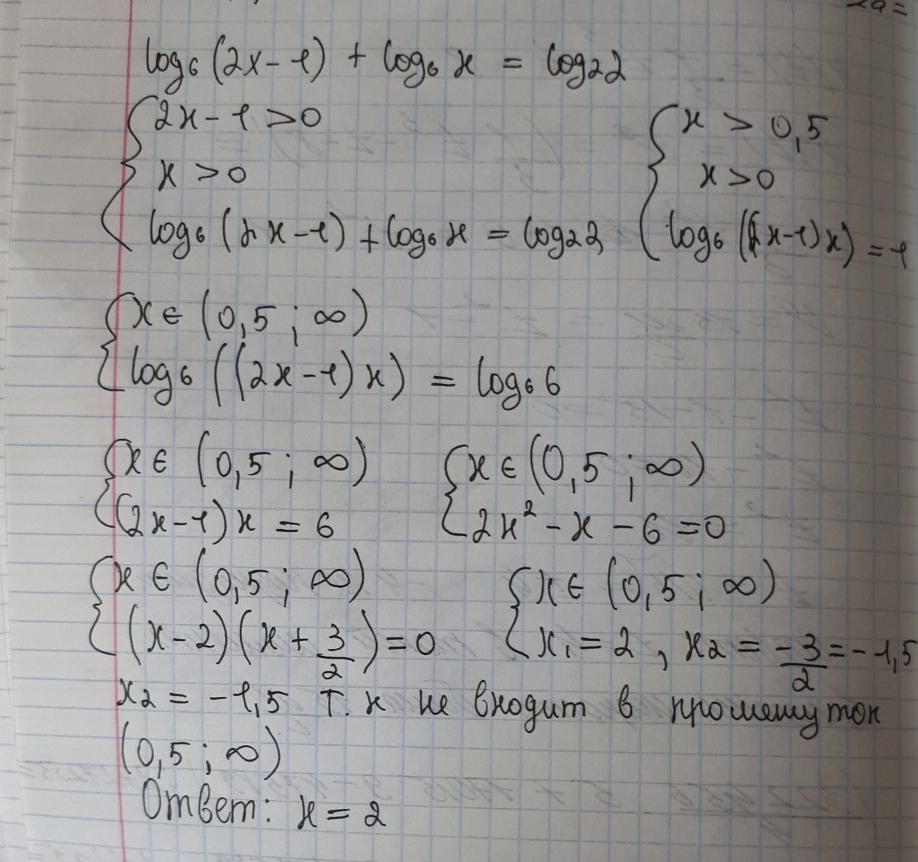
Найдём область допустимых значений(ОДЗ):
x∈(,∞);
Упростить выражение,используя формулу ㏒ₐ(x)+㏒ₐ(y)=㏒ₐ(x+y):
㏒₆((2x-1)x)=㏒₂(2);
Логарифм с одинаковым основанием и аргументом=1:
㏒₆((2x-1)x)=1;
Распределить x через скобки:
㏒₆(2x²-x)=1;
Выражение ㏒ₐ(x)=b равносильно x=aᵇ:
2x²-x=6¹;
Любое выражение,возведённое в степень 1=самому себе:
2x²-x=6;
Перенести константу в левую часть и изменить её знак на противоположный:
2x²-x-6=0;
Решить квадратное уравнение вида ax²+bx+c=0,используя формулу
;
Когда перед скобками есть знак "-",знак каждого члена в скобках нужно изменить на противоположный:
;
Вычислить степень:
;
Использовать правила умножения для вычисления выражения;умножить числа в знаменателе:
;
Сложить числа:
;
Вычесть квадратный корень:
;
Отделить решения:
;
Упростить выражение:
x=2
x=, x∈(
,∞);
Проверить,принадлежит ли решение заданному интервалу:
x=2
4.
Найти область допустимых значений(ОДЗ):
x≠3;
Перенести константу в левую часть и изменить её знак на противоположный:
;
Записать все числители над общим знаменателем:
;
Вычислить разность:
;
Существует два случая,при которых частное может быть ≤0
или
:
Решить неравенство относительно x:
Найти пересечение:
x∈∅
x∈[1,3);
Найти объединение:
x∈[1,3), x≠3;
Найти пересечение множества решений и области допустимых значений:
x∈[1,3)
Ответ:3)1+2=3.

