• Предмет: Математика
  • Автор: leylaatpbp0rd
  • Вопрос задан 8 лет назад

Решите уравнения пожалуйста

Приложения:

Ответы

Ответ дал: amax777
0

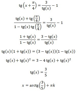
Решение в картинке. Удачи)

Приложения:
Вас заинтересует