• Предмет: Математика
  • Автор: hoccetbagirovkrutoy
  • Вопрос задан 8 лет назад

Даны три числа.первое число равно 12 4/5,второе на 3 единицы меньше первого, а третье на 4 3/4 меньше суммы первого и второго числа. н
Найдите сумму этих чисел

Ответы

Ответ дал: spasibo3pajbrh
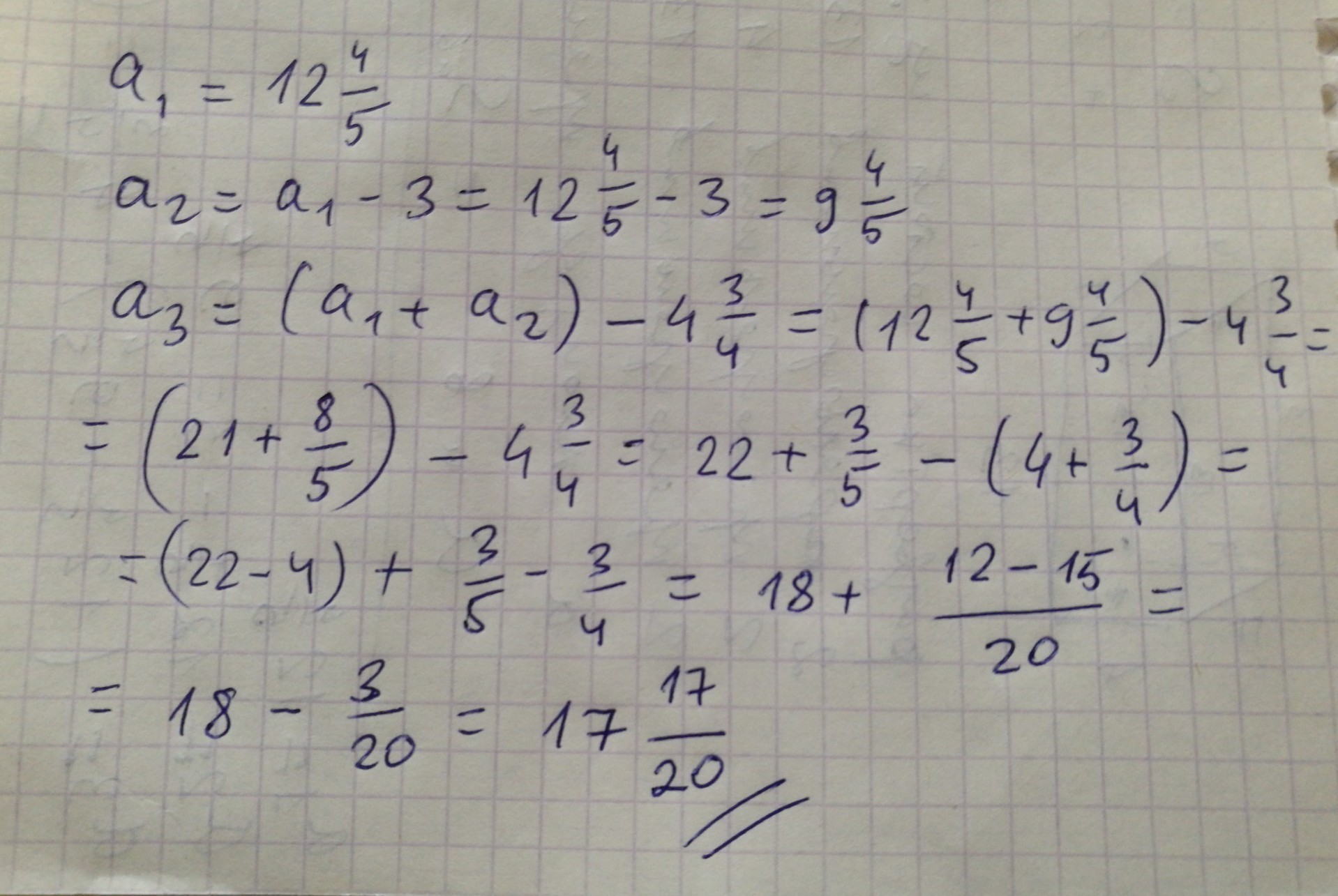
0
сумма равна
40 9/20
решение см. на фотографиях ( 2 шт)

удачи!
Приложения:
Ответ дал: hoccetbagirovkrutoy
0
спс большое
Ответ дал: spasibo3pajbrh
0
извините, маленькая описка, сейчас исправлю. первая часть по вычислению трех чисел верная
Ответ дал: hoccetbagirovkrutoy
0
хорошо
Ответ дал: spasibo3pajbrh
0
сделано
Ответ дал: hoccetbagirovkrutoy
0
хорошо
Ответ дал: snow99
0

Пусть a,b,c -- искомые числа.

a = 12 4/5

b = a - 3 = 12 4/5 - 3 = 64/5 - 15/5 = 49/5 = 9 4/5

c = (a + b) - 4 3/4 = 12 4/5 + 9 4/5 - 4 3/4 = 21 8/5 - 4 3/4 = 113/5 - 19/4 = 452/20 - 95/20 = 357/20 = 17 17/20

a + b + c = 12 4/5 + 9 4/5 + 17 17/20 = 21 8/5 + 17 17/20 = 113/5 + 357/20 = 452/20 + 357/20 = 809/20 = 40 9/20

Приложения:
Вас заинтересует